InverPep
? Centro de ayuda

Cómo usar esta página: abre una sección para leer, y para cerrarla haz clic otra vez en el mismo título. Si buscas algo puntual, usa el buscador (pI, Boman, carga neta, Blast…).

1 Ve a Información
2 Escribe un término en Buscar
3 Abre la sección del acordeón
4 Click de nuevo para cerrar
Tip: “pI”, “Boman”, “Kyte”
InverPep
Qué es y qué contiene

InverPep posee actualmente 702 AMPs experimentalmente validados provenientes de diferentes especies de invertebrados de los filos Artrópodos, Moluscos, Nematodos, Anélidos, Equinodermos, Platelmintos, Placozoa, Hydradae y el subfilo Tunicata. Todos estos péptidos se encuentran alojados en la base de datos junto con su información general (filo y especie de origen, nombre, tamaño), las propiedades fisicoquímicas (carga neta, hidrofobicidad, índice de Boman, índice alifático, pI, porcentaje de aminoácidos hidrofóbicos y estructura secundaria, si es conocida), su actividad antimicrobiana y enlaces externos a la bibliografía.

CALCAMPI
Qué calcula y cómo usarla

Es una herramienta para calcular diferentes propiedades fisicoquímicas de múltiples péptidos al tiempo, se diseñó usando el lenguaje de programación PERL (versión 5.22.0.1) y luego se trasladó a PHP para integrarlo a la interfaz web de InverPep. El programa calcula peso molecular, carga neta a pH neutro, hidrofobicidad, índice de Boman, índice alifático, punto isoeléctrico y porcentaje de aminoácidos hidrofóbicos.

CALCAMPI requiere que se copien los péptidos listados en la plataforma o se tenga un archivo FASTA con la lista de los péptidos a ser analizados.

Obtención de datos
Cómo se calculan las propiedades

- Peso Molecular: El peso molecular del péptido es la suma de las masas molares de todos los aminoácidos que lo conforman.

- Carga Neta: Para calcular la carga neta se usó la siguiente ecuación:

Ecuación de carga neta

Donde Ni son los números y pKai los valores de pKa del N-terminal y las cadenas laterales de arginina, lisina e histidina; y el índice j pertenece al C-terminal y las cadenas laterales del ácido aspártico, ácido glutámico, cisteina y tirosina. Los valores de pKa usados para diseñar el algoritmo fueron tomados de Lehninger. La carga se calcula a pH neutro.
[Nelson, D., & Cox, M. (2008). Lehninger Principles of Biochemistry (5th edition ed.): W. H. Freeman.]

- Hidrofobicidad: Se representó como el gran promedio del valor de hidrofobicidad (Kyte-Doolittle) dividido por el número de residuos.

- Índice de Boman: Suma de energías libres al transferirse de ciclohexano a agua dividido por el número de residuos.

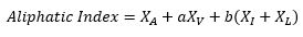
- Índice alifático: Se calcula con la siguiente ecuación:

Índice alifático

Donde XA, XV, XI y XL son los porcentajes molares. a = 2.9 y b = 3.9.
[Ikai, A. (1980). Thermostability and Aliphatic Index of Globular Proteins. Journal of Biochemistry, 88(6), 1895-1898.]

- Punto isoeléctrico: El pI es el pH donde la carga neta es igual a cero.

Glosario
Términos clave

- AMP: Antimicrobial Peptides. Péptidos con actividad sobre algún microorganismo. E.g. Cecropinas.

- Actividad: Acción sobre un grupo de microorganismos. E.g. Antiviral.

- Código InverPep: Código asignado por InverPep para cada registro.

- Especie de origen: Especie de donde se obtuvo el péptido. E.g. Drosophila melanogaster

- Estructura secundaria: Plegamiento del péptido. E.g. Hélice alfa.

- Filo de origen: Filo al que pertenece la especie de origen.

- Invertebrados: Organismos que carecen de columna vertebral y de esqueleto interno articulado.

- Nombre del péptido: Nombre en bibliografía.

- Secuencia: Estructura primaria del péptido.

- Tamaño: Número de aminoácidos del péptido.

La base de datos me ha sido útil, ¿cómo puedo citarla?
Citación recomendada

Puedes citar InverPep usando la siguiente citación:

Gómez EA, Giraldo P, Orduz S. InverPep: a database of invertebrates antimicrobial peptides. J Glob Antimicrob Resist 2017; 8:13-17.

(Pega aquí tu bloque real de “Información de contacto” y se verá con el mismo estilo.)